技术应用
技术应用
技术应用
射频电路电源和接地的设计方法
2021-12-28 47
射频(RF)电路的电路板布局应在理解电路板结构、电源布线和接地的基本原则的基础上进行。本文探讨了相关的基本原则,并提供了一些实用的、经过验证的电源布线、电源旁路和接地技术,可有效提高 RF设计的性能指标。考虑到实际设计中PLL 杂散信号对于电源耦合、接地和滤波器元件的位置非常敏感,本文着重讨论了有关 PLL 杂散信号抑制的方法。为便于说明问题,本文以 MAX2827 802.11a/g收发器的 PCB布局作为参考设计。 设计 RF电路时,电源电路的设计和电路板布局常常被留到了高频信号
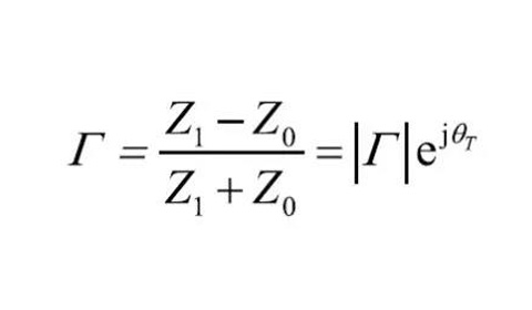
非常详细的阻抗测试基础知识
2021-12-28 67
一、阻抗测试基本概念 阻抗定义: 阻抗是元器件或电路对周期的交流信号的总的反作用。 AC 交流测试信号 (幅度和频率)。 包括实部和虚部。 图1 阻抗的定义 阻抗是评测电路、元件以及制作元件材料的重要参数。那么什么是阻抗呢?让我们先来看一下阻抗的定义
科谱:歼20黑科技--共形天线、吸波、隐形、相控、火控、光电孔径、飞行头盔.....
2021-12-28 94
随着我国重型隐身战斗机歼-20的服役和形成初始战斗力,以及该机越来越高调地参加联合演习其高清图像也越来越多地涌现。在8月1日的建军节里,4幅歼-20的高清新照片出现在互联网上,让我们获得一个难得的机会来更好了解这款“游戏规则改变者”隐身战斗机的一些设计细节。 这架歼-20是最新出厂的黄皮机,机身表面尚未涂上灰色伪装涂装,裸露着黄色防护底漆和翼面前后缘的灰色吸波材料结构,凸显乐许多之前无法观察到的设计细节。从照片上可以看到,歼-20的前机身两侧和下方蒙皮表面有着数
射频工程师入门必学:如何设计定向耦合器电路?
2021-12-28 51
汽车雷达、5G 蜂窝、物联网等射频 (RF) 应用中,电子系统对射频源的使用量与日俱增。所有这些射频源都需要设法监测和控制射频功率水平,同时又不能造成传输线和负载的损耗。此外,某些应用需要大功率发射器输出,因此设计人员需要设法监测输出信号,而非直接连接敏感仪器,以免受高信号电平影响导致损坏。 另外还有诸多其他挑战:在较宽的频率范围内如何确定射频负载(如天线)的特性;在发射器处于广播状态时如何监
干货!如何用Ansys HFSS搞定5G阵列天线设计
2021-12-28 62
5G——第五代无线通信技术,作为全球性的暴热话题已经是不争的事实。如众多专家所述,该技术将带来更低时延、更快速率的数据通信,并将导致互联设备的爆发式增长。 5G网络的更大带宽需求,要求必须彻底重新设计天线阵列,从单元到阵列,到馈电网络,到全模型验证和应用场景评估,都需要做完善的精细化仿真和优化设计。微波仿真论坛 利用Ansys HFSS,只需8个步骤,就能轻松完成5G天线阵列的设计和
详解USB连接器-type c接口充电快的原因有哪些
2021-12-28 21
金航标的USB-typec接口为什么充电快,主要有两方面原因,其一是金航标kinghelm研发的typec接口有四条电源线,电源线粗允许通过的电流大了,当然充电快了;其二,typec接口充电时,允许充电器与手机电源管理芯片通讯,提高充电电压,在电流不变时,可以提高充电功率,速度快了很多,理论上最大速度可达100W。 1、typec接口针脚定义前些年,使用最普遍的是micro usb接口,也就是安卓手机都在使用的充电和数据传输接口。这种接口只有五个针脚,实际只是使用其中四个,两个电源,两个数据
6G技术长啥样?5大趋势,13个核心技术2030年落地
2021-12-28 66
5G已经展开了全面商用,随着5G在垂直行业的不断渗透,人们对于6G的设想也逐步提上日程。面向2030+, 6G将在5G基础上全面支持整个世界的数字化,并结合人工智能等技术的发展,实现智慧的泛在可取、全面赋能万事万物,推动社会走向虚拟与现实结合的“数字孪生”世界,实现“数字孪生,智慧泛在”的美好愿景。 围绕这一总体愿景,6G网络将在智享生活、智赋生产、智焕社会三个方面催生全新的应用场景,比如孪生数字人、全息交互、超能交通、通感互联、智能交互等。 这些场景将需要太比特级的峰值速率、
工业物联网中的几种无线主流技术
2021-12-28 139
大型生产场景中涉及大量的设备、生产应用系统、工人和产品,稳定、高速、易管理的无线网络是必不可少的需求。 工业物联网的无线通信技术主要分为两类:一类是ZigBee、WiFi、蓝牙等短距离通信技术;另一类是LPWAN(low-power Wide-Area Network),即低功耗广域网通信技术。LPWAN又分为两类:一类是工作于未授权频谱的LoRa、SigFox等技术;另一类是工作于授权频谱下,3GPP支持的2/3/4G蜂窝通信技术,比如EC-GSM、LTE Cat-m、NB-IoT等。
比“星链”动作还快!中国北斗卫星“短报文”手机年底上市!
2021-12-28 72
如果现在你还认为手机不能跟卫星直接通信,那你就真的落伍了!支持北斗三号卫星短报文功能的手机即将在今年年底上市!今年前段时间,兵器工业集团在北斗三号短报文通信融入大众手机阶段成果展示会上,展示了这一功能! 我们知道,我国北斗定位系统相比GPS系统的一个重要升级,就是支持短报文收发。但是之前,支持短报文收发的北斗定位系统只应用在一些相对专业领域,比如灾害救援、船舶车辆管理等等,一般人只能使用北斗导航的定位功能。 北斗卫星“短报文”功能在灾害救援中的应用 在
“北斗+旅游”,北斗助力国家文化旅游发展!
2021-12-28 32
近日,为贯彻落实《中华人民共和国国民经济和社会发展第十四个五年规划和2035年远景目标纲要》和国家“十四五”文化改革发展规划,加快推进文化和旅游发展,建设社会主义文化强国,文化和旅游部发布关于印发《“十四五”文化和旅游发展规划》的通知。其中明确提出推进文化和旅游数字化、网络化、智能化发展,推动北斗导航等在文化和旅游领域应用。 文化和旅游是北斗特色应用的重要方向之一,北斗凭借高精度位置服务和短报文通信服务在智慧旅游、文物保护和野外搜救等方面发挥了重要作用。 智慧旅游
从北斗短报文、LoRa和NB-IoT谈卫星物联网的通信技术
2021-12-28 73
4月14日孟非和他的伙伴又一次上船,沿着浑黄的长江口东行。船长连导航也不需要,毕竟为了海上的那个“伙计”已经跑了无数趟。远远看去,一个浮桶,一个浮标,就像一对连体人在一起浮沉。 抛锚,起捞,检查,更换电池板,连接电脑,拷贝数据,密封盖盖上,放下浮标,起锚…经过一连串作业,孟非顺利的完成任务返航。 为了获取浮标数据,孟非及其同事每隔一段时间就会重复上述繁琐的步骤。但是既然浮标上有天线,可以进行无线通信,为什么还要费那么大费周折,跑那么远来到
一张表看懂5G与Wi-Fi 6的区别
2021-12-28 54
频谱类型 传统上讲,蜂窝网络工作于授权频谱,Wi-Fi工作于非授权频谱。但进入5G时代,这种划分逐渐变得模糊。一方面,一些国家,比如德国、英国、日本、法国、等,已经为5G专网分配了本地化频谱,企业申请获得批准后就可使用;另一方面,标准定义的NR-U本是工作于非授权频谱的5G无线。单从这一趋势看,相比前几代,Wi-Fi 6面临来自蜂窝网络的更大的竞争压力。 移动性 蜂窝网络本是为移动性而设计,在这方面相比Wi-Fi拥有天然的优势。但Wi-Fi也可通过网关支持AP间漫游,支持将W
无线设计中PCB天线该如何选择
2021-12-28 32
通信产品中的PCB天线的需求也变得越来越大。 天线是许多无线系统的关键组件,印刷电路板(PCB)天线由于体积小,易于与其他高频电路集成因而在行业中有着广泛的应用。 PCB天线的性能和一致性在很大程度上取决于其基础电路层压板的质量,其尺寸非常大程度上取决于天线的目标频率和波长。 无论是从个人通信系统(PCS),物联网(IoT)应用,再到汽车电子控制和安全系统,这些系统对于无线应用的需求毫无疑问是非常旺盛的。 随着工作频率越来越高,从PCS应用的2.4G
天线尺寸与频率,口径与波宽的关系
2021-12-28 86
天线尺寸与频率 一般设计天线的尺寸与天线工作频率的关系为: 天线长度=C/(2f) 其中C表示光速,f表示天线的工作频率。 天线工作频率指天线的共振频率,或中心频率。每个天线都有一定的频率范围,称为带宽,在这个范围内,天线阻抗最小,效率最高,这个范围的中间最佳点即中心频率,驻波比最小,功耗最小,信号最强。 “天线的最佳长度与波长的关系是固定的” 抛物面天线 抛物面天线从结构上,由照射器和反射面构成。 照射器由一些弱方向性天线担当,比如
“5G+工业互联网”驱动5G应用再提速
2021-12-28 31
当前,“5G+工业互联网”已成为产业热情最高、创新最活跃的5G应用领域,也是路径探索深入、效果显著的工业互联网创新发展方向之一。“5G+工业互联网”融合应用的基础良好、前景广阔、潜力巨大。5G融合应用是促进经济社会数字化、网络化、智能化转型的重要引擎。5G商用两年来,5G在个人消费、工业制造、能源环保、医疗健康、教育文旅、交通物流等领域取得了积极进展和成效明显。
翼龙无人机应急通信技术浅析
2021-12-28 99
河南暴雨,牵动着大家的心。 昨天中国移动的一则暂时恢复通信的通知短信瞬间刷屏: 感动于大家的关心,也感慨国家科技力量的强大。 感动、感慨记于心。我们从技术的角度聊聊,这次应急通信行动就多牛B! 翼龙是如何恢复公网通信的?
每分钟生产5台5G基站?中兴厉害了!科普:信号与频谱知识!
2021-12-28 58
1. 科普:每分钟生产5台5G基站?中兴厉害了 5G普及率逐渐提高,越来越多用户过上了5G生活,而在5G领域内,中兴通讯是不容忽视的企业。自5G规模化商用以来,中兴迎来了一波发展期。 最近的2021 世界移动大会上,中兴就表示,其南京滨江 5G 生产基地,实现了每分钟生产5台5G基站的成绩,产品发往全球。而且,处于迭代发展期的5G发展潜力逐渐显现,5G基站的建设数量将持续增长,今年下半年或还将迎来5
6G智能全连接网络架构
2021-12-28 57
当前业界对6G愿景、业务场景和关键技术展开了大量的分析研究,而网络架构是实现6G愿景和业务需求的基础。首先分析了6G愿景对网络架构的需求,然后探讨了6G网络架构设计需要考虑的关键因素,最后提出了一种6G智能全连接的网络架构设想。
反向散射通信的未来应用与技术挑战
2021-12-28 78
反向散射通信技术是“绿色”物联网和6G网络设计的关键技术之一,能够实现低功耗、低成本、易部署的“绿色”通信。简要回顾了传统反向散射通信技术的起源及原理,综述了新型反向散射通信技术和最新相关研究进展,预测了反向散射通信技术未来潜在应用并分析了其面临的关键问题。
面向6G的无蜂窝大规模MIMO无线传输技术
2021-12-28 126
无蜂窝是一种新型的组网方式,对6G超高峰值速率、超高频谱效率、海量连接以及超低时延和超高可靠传输均有重要的支撑作用。介绍了面向6G的无蜂窝大规模MIMO系统中的无线传输技术,包括高频段和低频段的无蜂窝大规模MIMO以及网络辅助全双工等关键技术,分析了无蜂窝系统面临的瓶颈问题,包括信道信息获取、分布式收发机设计、交叉链路干扰等,并提出了一些解决思路和新的研究方向。

北斗/GPS天线咨询

板端座子咨询

连接器咨询

获取产品资料