技术应用
技术应用
波导缝隙阵列(一)
2023-04-10 753


之前粗略总结了一些微波波导器件Waveguide antenna。今天尝试从波导一些基本概念入手,逐步加深对波导天线的理解和认知。网络上很多理论教程,本文先整理一些关键的概念和实际中关注比较多的天线特征,实际上海内外一些大厂均已将波导技术用于毫米波雷达,后续仿真会逐步跟进,以方便和大家一起学习和更进一步了解波导的原理;


波导,作为电磁波传输的一个载体,类似于行车道给给汽车提供一个行进空间,通过对波导形状的设计,如圆形或者矩形波导,可以将一定频率的电磁波以最小的损耗传输出去。因此波导可以理解成一种能量传输结构(馈电网络)或者传输线的一种形式。波导壁由金属构成,另外镀金和镀银等加工工艺,使得传导损耗很低,且电磁波能量被限制在波导内,杂散和串扰低,抗干扰性好。相比于传统微带线,介质损耗低,由于金属导热性好,所以金属波导具备较大的功率容量。在广义的定义下,波导不仅是指空金属管,同时也包括其他波导形式如脊形波导、椭圆波导、介质波导等;还包括双导线、同轴线、带状线、微带和镜像线、单根表面波传输线等。

  1. 1. 矩形波导模式

一般说到波导就是指空心金属管。根据波导截面的形状不同,可分为矩形波导、圆波导等。目前,在实际应用中矩形波导和圆波导仍是两种最主要的波导形式;

图片

图1:波导示意图

关于不同类型波导模式通常用整数表示TEm,n和TMm,n模式,横电磁波就是电和磁都是横着的,横电波只有电场是横的,横磁波就只有磁场是横的。而所谓横,就是与电磁波传播方向向量k是垂直的。m和n始终是整数,可以采用从 0 或 1 到无穷大的不同值。这些表示波导内的波模式取决于波导尺寸和形式,只有有限数量的不同 m、n 模式可以沿波导传播。

图片

图2:矩形波导传输的TE

2. 一些参数

数学推导过程主要的核心部分就是波动方程边界条件(1.在两种媒质分界面上取一小段回路,利用法拉第电磁感应电定律可以得出:理想导体的切向电场为零;2.在两种媒质分界处做一小柱形闭合面,利用磁场的高斯定律可以得出:理想导体表面只有切向磁场,没有法向磁场)以及伟大的麦克斯韦方程组

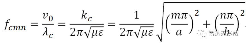
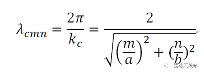
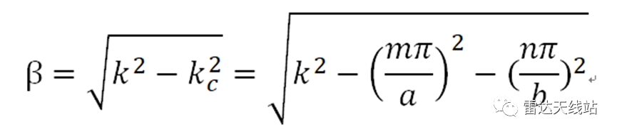
2.1 TE模式的一些指标:
传播常数

图片

截止频率

图片

截止波长

图片

TE基模

截止频率最低的模式成为基模,由上式的截止频率,又a>b,且m、n不能同时为零,所以TE的基模为TE10

2.2 TM模式的一些指标:

传播常数、截止频率和TE模一致

TM基模

截止频率最低的模式成为基模,由上式的截止频率,a>b,且m、n不能均不能等于零,所以TM的基模为TM11;

m、n称为波指数, m表示x方向变化的半周期数,即小→大→小,波型称为正规波,n表示y方向变化的半周期数。对TE模,m、n不能同时为零,对于TM模它们均不能为零。

2.3 截止波长的分布:

I区为截止区,大于2a的波长不能传输,II区为单模区,只有一种模式能传输,III区为多模区,多种模式能传播。

图片

图3:截止波长分布

TE10模的截止波长为2a,TE20的截止波长为a,TE01模的截止波长为2b;

2.4 单模传输条件

根据以上,要实现单模传播,则波长介于a和2a之间,通常矩形波导工作在TE10模单模传输的情况,首先是因为TE10模容易实现单模传输,其次,当工作频率一定时,传输TE10模的波导尺寸最小,除此之外,若波导尺寸一定,则实现单模传输的频带最宽。

图片

图4

图片

图5

根据不同模式的分布,实现单模传输的条件是波长a<<2a且a>2b(图4)和2b<<2a且a<2b(图5);

图片

图6 单模传输条件

2.5 TE10模式的场分布

所谓场分布图就是在固定时刻,用电力线和磁力线表示某种波型场强空间变化规律的图形。

TE10模场强与y无关,场分量沿y轴均匀分布。磁力线永远闭合,电力线与导体边界垂直。且电力线和磁力线相互正交。

图片

图7:矩形波导TE10模场分量分分布规律

(a)场分量沿x轴的变化规律(b)场分量沿z轴的变化规律;(c矩形波导横截面上的场分布)(d)矩形波导纵剖面上的场分布;

图片

矩形波导TE10模的场分布如上,在某一时刻,随着时间的推移,场分布图以相速vp沿着传输方向移动。

以宽边 为 x轴、短边为 y 轴,传播方向为z轴。当波导内传输电磁波时,波导内壁上将会感应高频电流(传导电流,或者壁电流),由于假定波导壁是由理想导体构成,所以感应电流只存在于波导的内表面。





免责声明:本文采摘自网络 雷达天线站,本文仅代表作者个人观点,不代表金航标及行业观点,只为转载与分享,支持保护知识产权,转载请注明原出处及作者,如有侵权请联系我们删除。

北斗/GPS天线咨询

板端座子咨询

连接器咨询

获取产品资料