服务热线
手机
吸盘天线是一种常见的无线网络天线,它通常用于车载或户外使用,可以帮助用户在移动或远离基站的情况下获得更好的信号接收效果。
我们先说说吸盘天线的构成,市面上常规的吸盘天线主要由:天线辐射体、强磁吸盘、馈线、天线接口这四块构成(如下图)。

(吸盘天线结构图)
1、天线辐射体材质有不锈钢、纯铜、记忆合金等材质,形态一般为鞭状或者杆状。吸盘天线辐射体实际上就是一个单极(鞭状)天线,他是对称振子的一臂垂直于一个理想导体平面(地面)上。根据天线原理,线天线的谐振频率为1/2波长整数倍,由镜像原理,在理想无限大平面上,吸盘天线的理想最小电尺寸为1/4波长,如果要提高增益,可以采用中部加感同时提高天线辐射体的长度(1/4波长整数倍)。
2、强磁吸盘的作用是固定整个天线及保证吸盘天线与被吸的金属导通接触。
3、馈线一般有RG系列(RG58、RG174),3D线材等。
4、天线接口常见的有:N头、SMA、BNC、TNC、I-PEX等接口类型,其中吸盘天线常用的接头有N头、SMA、BNC、TNC等,分公母,选择天线的时候一定要购买与设备匹配的接头。

(常见的吸盘天线)
二
先给大家解密一下,吸盘天线为什么要吸在金属上?
由我们之前推文大家可以知道:天线的电气性能与之使用的环境密切相关,谐振频率受天线周围材质的介电常数影响,它的使用和性能发挥离不开设计环境要求和安装使用环境。
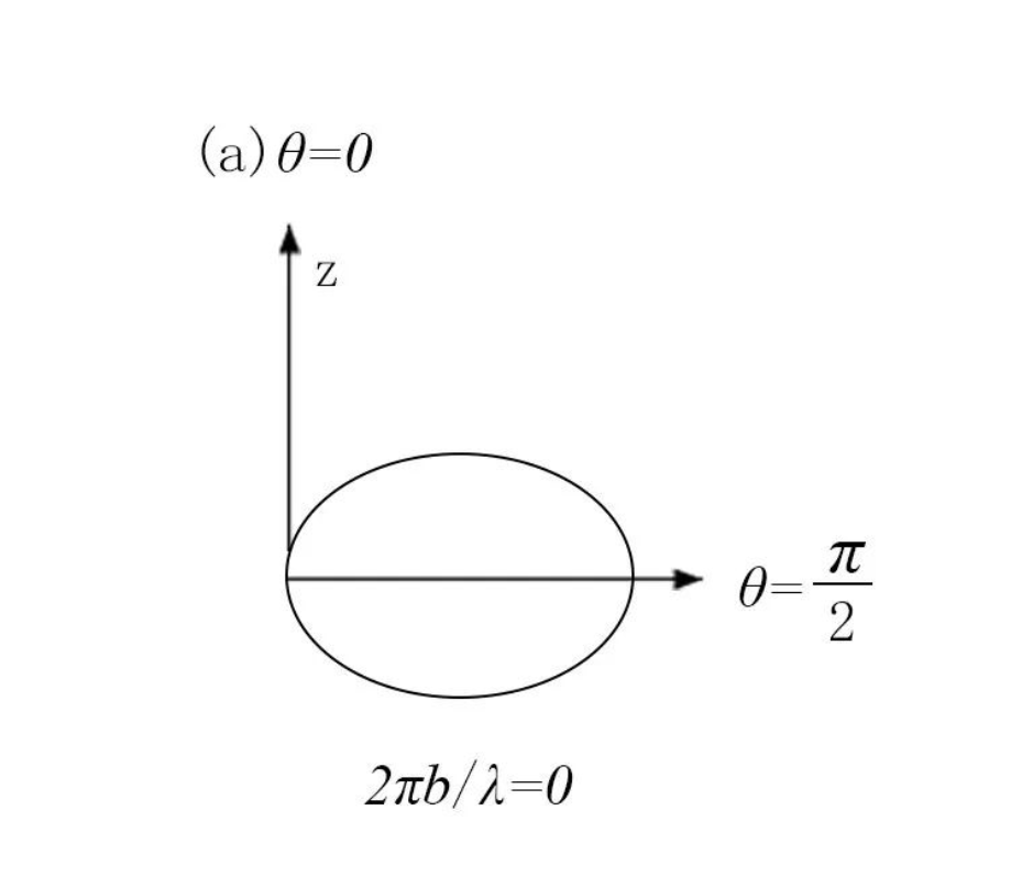
由前面所述吸盘天线的辐射体就是一个单极天线,由镜像原理知,长为h的单极天线与其镜像构成一个全长为2h的对称振子,其在上半空间的场与对称振子相同,在下半空间的场强为零,如下图所示。

(单极天线镜像原理图)
一般就吸盘天线而言主要是吸在机柜、车顶上或类似环境中使用的,所以它是以各种机柜及车体模型为基础设计的,让尺寸远大于通信频率电波波长的金属接地部分成为天线的一部分。因此安装位置的不同会直接影响天线原设计电参数的变化,特别是谐振频率以及辐射方向改变。
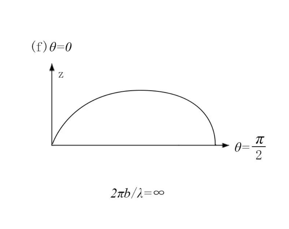
如图下图所示,一个四分之一波长的单极天线在有限圆盘上的辐射方向图(实际使用中接地金属圆盘有限,不能形成一个完全的镜像),且下半空间也存在一定的辐射(绕射效应)。

(单极天线镜像示意图)
大家可从以下组图看到天线的吸盘随着接不同大小的金属地,天线辐射方向的变化。




由上图可知,吸盘天线吸附于不同大小的金属体上时候,其性能完全不一样。所以我们在使用吸盘天线时候,建议做到以下两点:
1、要求吸附在机柜或机车顶部以保证高度和辐射方向,才能发挥天线最佳性能;若安装在其它部位,会引起驻波、方向图及仰角变化,影响通讯范围。
2、尽量将天线安装在视野开阔,避免安装在竖井内或电磁环境复杂处,只有这样才能提高通讯质量,减少背景噪音等不可预测的干扰现象。
三
说到吸盘天线的用途,我们先说说它的优势。如果安装方式正确,吸盘天线比内置天线驻波比更好、效率更高,同时无需定制;与胶棒天线在相同频段以及结构尺寸下,增益更高,传输距离更远,可以根据实际使用需求选择不同的安装位置。
除了以上优势,吸盘天线还具有广泛的用途,除了我们日常可见的自动售卖机、快递柜、车载电台以外,还可适用于无线模块以及中等增益要求的无线网关等。

吸盘天线可应用于户外电箱、汽车车载。用于户外时,可选择天线罩为玻璃钢等材质,可防水防风。

吸盘天线也可应用于自动售货机,天线的底座是强磁吸盘,安装简易,不易掉落。

吸盘天线还可应用于无线抄表,天线结构轻巧,外形美观。
免责声明:本文采摘自网络深圳市飞宇信电子有限公司,本文仅代表作者个人观点,不代表金航标及行业观点,只为转载与分享,支持保护知识产权,转载请注明原出处及作者,如有侵权请联系我们删除。


