新闻资讯
新闻资讯
论天线的增益为什么跟波长有关
2025-06-20 797


我们知道,天线的增益是描述天线性能的重要指标之一,它体现了天线的方向性,用它可以衡量天线辐射能量的集中程度。

其定义为:在相同半径r的球面上,实际天线辐射最大方向上的电磁波通量密度与各向同性天线(理想点源天线)通量密度之比。

图片

1. 天线增益的定义

从图1中我们可以看出天线增益的意义在于,与理想点源形成的各向同性辐射(呈球面扩散)能力相比,一个实际的方向性天线的辐射能量将主要集中到某一特定方向上。这样在与理想点源相同辐射功率的情况下(图中a),方向性天线在特定方向上将有更大的电场强度;或者说,如果在某个特定方向和距离上,方向性天线与理想点源天线形成的场强相等(图中b),那么方向性天线所需的辐射功率将远小于理想点源天线。
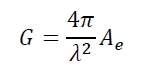
在卫星通信测控领域,经常使用“口径天线”(最常见的是喇叭天线和抛物面反射天线)。其功率增益与有效口径存在以下关系:
图片
式中,G为口径天线的增益,λ为电磁波的波长,Ae为有效口径大小(面积单位)。
下面我要分析讨论的就是增益G为什么跟常数项4π、口径大小、尤其跟波长有关?
01 公式中4π的意义
为说明4π的意义,首先要介绍“立体角”的概念。
我们都知道,一个平面角(二维角)可定义为一段圆弧与对应半径的长度之比,单位是弧度(rad)。所以1rad相当于一段长度等于半径R的圆弧所对应的张角。这样弧度与角度的关系也就出来了,即2π弧度(rad)=360角度(°)。
立体角则扩展到了三维,其定义为:半径为R的球面上面积R2的球表面所围的球心角度数为单位立体角(单位为立体弧度)。可以想象为:用一个顶点位于球心的圆锥来截球的表面,截得的球面面积与半径的平方R2之比就是这个圆锥所张开的立体角大小。而因为一个完整球面的表面积为4πR2,那么整个球面对应的立体角就是4π。

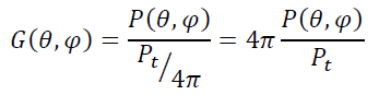
通过前面介绍我们知道,某天线的增益可用其在特定方向上的辐射功率密度与理想点源的功率密度之比来表示。当辐射功率相同时,某天线在(θ, φ)方向上的辐射强度Pθ, φ)与理想点源辐射强度之比为:

图片
式中Pt为理想点源的辐射功率,Pt/4π意味着由于理想点源的辐射功率分散到了整个球面,所以在某个特定方向上单位立体角内的功率密度就要除以4π。

这样,增益公式中的4π常数项就出现了,它其实代表的就是理想点源(各向同性天线)的辐射立体角。有时我们甚至只用立体角的关系就可以得到某个天线的增益,比如一个天线仅对上半空间(半球形)辐射,其波束范围ΩA=2π(立体弧度),则增益就为:

G=4π/2π=2(≈3.0dBi)

02 增益跟波长的关系

为分析增益跟波长的关系,我想到的一个办法是类比光的“双缝干涉”现象来构建一个简单模型,以此来得到天线方向性(增益)与波长的反比关系。因为光也是电磁波,所以其结论是相通的。分析如下:

我们先在二维平面内讨论,然后再推论到三维,下面的二维图可视为三维的一个剖面。

图片
图2. 方向性与波长的关系

2中设有两个相干点源AB,间距为d,可看作是反射面天线上的两个辐射点,所以其辐射波为向上的半球形。绿色的波前对应点源A,紫色的波前对应的是点源B,图中只绘出了两个波长的波前。

AB的中点为O,做方向线Oy垂直于线段AB,在距离AB上面L长度处设置一个接收屏幕。根据双缝干涉的原理,因为Oy方向上处处都在两个波源的等波长上,所以屏幕上的y点将出现亮斑(辐射叠加增强点)。

分别做方向线OxOz,两者与Oy对称,所以下面只讨论Ox方向。图中,中间标识了λ/2的虚线圆圈的直径为λ/2Ox穿过这些虚线圆圈的圆心。且Ox与虚线圆圈的交点同时也相交于AB产生的同阶段波前半圆上,这意味着,在Ox方向上,B点源形成的波前要落后于A点源形成波前λ/2的距离,这样,在屏幕上X处将形成暗斑(辐射叠加抵消点)。xz就是干涉形成的第一对暗斑,同理在xz的外侧将会有一系列其他的亮斑和暗斑,这里就不再画出。

我们先进行一个定性的分析。如果波长λ变小,则图2中的虚线圆圈必然跟着变小,而为了保证上面提到的与ox和两个波前的相交关系,虚线圆圈必然要向内侧(离Oy线更近的方向)移动才行,从而带动Ox向Oy靠拢(∠xOy变小)。同理,没有画出的外侧更多的方向线也将同步向内靠拢,而这就意味着两个点源形成的综合辐射效果将更向上面(Oy方向)集中。而辐射方向的集中也就意味着天线方向性的增强,即增益的变大。所以增益跟波长成反比(二维)。

上面讨论的是二维平面角的向内收束,在三维空间则对应的是立体角的收束。平面角的变化可看作是弧长的一次方变化引起的,而立体角的变化则应看作是张角对应截面积(二次方量)的变化导致的。而这个面积变化对应的必然是自变量(波长)的二次方变化的结果,所以在三维空间中,天线方向性变化将跟波长的平方成反比。

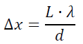
下面在二维空间内做一定量的分析。根据双缝干涉条纹间距公式:

图片

可知条纹间距Δx跟波长λ成正比,而方向线张角∠xOy则跟Δx成正比,所以也就是跟波长λ成正比。然而天线的方向性跟该张角成反比,所以可得出增益跟波长成反比。扩展到三维空间,则对应为增益跟波长的平方成反比。

最后稍微解释一下为什么增益跟口径大小成正比。若图2 中只有A或B一个点源,则其向上的辐射为半球形,在这个半球面内功率分布是均匀的。但加上一个点源后,由于干涉作用,将使得辐射在各个方向上不再均匀,尤其是与点源分布方向垂直的轴向上得到的加强最为显著,如图3。
图片
图3. 波的干涉图样

可以想见,若N多个点源密布于成一个面,则其方向性将更强。

图片
图4. 多波源的方向性增强示意
如图4所示,随着波源数量的增多、密度的增大,一个个半球面波的合成效果将形成一定程度的平面波(除两侧边缘外),而平面波是定向的。且点源规模(数量和密度)越大则形成的平面波部分占比越大,即方向性更强。而点源规模其实就是天线口径的大小,因为可将口径面积看作是无数点源密布而成的。


免责声明:本文采摘自借书留真,本文仅代表作者个人观点,不代表金航标及行业观点,只为转载与分享,支持保护知识产权,转载请注明原出处及作者,如有侵权请联系我们删除。

北斗/GPS天线咨询

板端座子咨询

连接器咨询

获取产品资料